C.S.E.I. Făgăraş
Despre noi
Informații de interes public
Contact
Integritate instituțională
Avertizor de integritate
Programe/proiecte
Linkuri utile
Regulamente interne
RAPORT ANUAL DE EVALUARE INTERNĂ A CALITĂȚII
Documente anticorupție
Accesibilitate
Plan de dezvoltare instituțională - PDI
Oferta educațională 2026-2027
Mai mult
Meniu
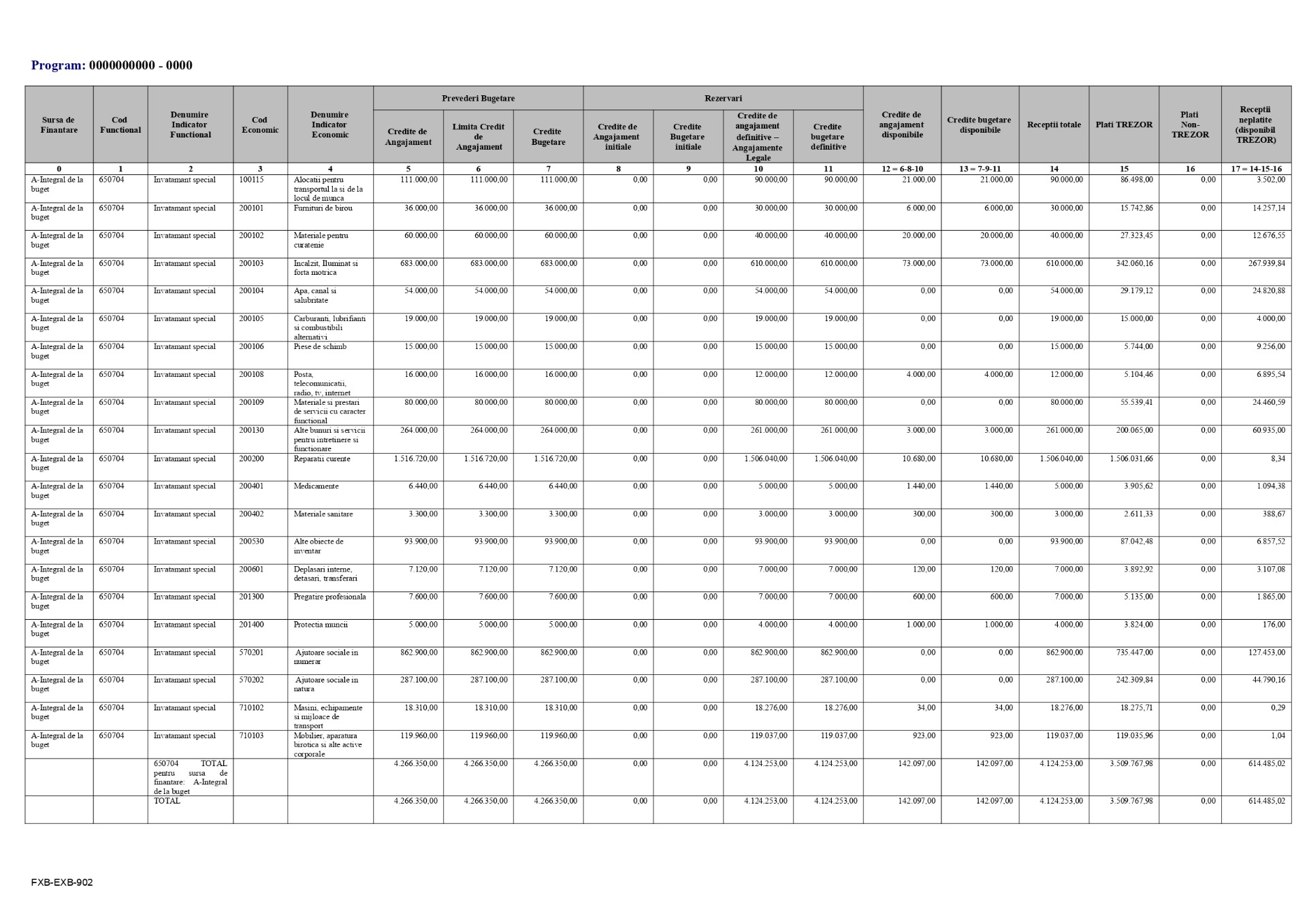
Execuția bugetară-situația plăților
Execuție bugetară CJ Brașov
Execuție bugetară ISJ Brașov
Creați un site gratuit!
Acest site a fost realizat cu Webnode.
Creați-vă propriul site
gratuit chiar azi!
Începeți